相关帖子:
发个自己写的反激式变换器的设计资料,有详细计算过程(一)
发个自己写的反激式变换器的设计资料,有详细计算过程(二)
发个自己写的反激式变换器的设计资料,有详细计算过程(三)
发个自己写的反激式变换器的设计资料,有详细计算过程(四)
发个自己写的反激式变换器的设计资料,有详细计算过程(五)
5. 离线式反激式变换器的系统设计
本节将讨论离线式反激变换器的电路元件参数选取和变压器设计,重点介绍变压器的设计。
5.1 保险丝和负温度系数热敏电阻
反激式变换器的输入端通常串联保险丝盒一个标称阻值几欧到几十欧的负温度系数热敏电阻(NTC),保险丝的作用显而易见,在电路出现短路或者过流时,为整个电路提供最 后一道保护屏障。负温度系数热敏电阻则在电路启动时起到了减小浪涌电流的作用。当输入 端接通电源时,对于没有 PFC 功能的电路,输入滤波大电容将造成输入端出现大的浪涌电 流,接入 NTC 后,由于启动瞬间 NTC 温度较低,阻值较大,有效抑制了浪涌电流。随着电 源的工作,NTC 流过电流发热,阻值减小,NTC 造成的线电压损耗也随之降低。
由于保险丝和热敏电阻都属于阻性元件所以选取时根据有效值电流计算。例如图七所 示的电路中,输出 5V/2A,预估效率 75%,我们首先计算出电源输入端的最大有效值电流:
那么,我们选择保险丝的时候,要求额定电流大于这个值,考虑到浪涌电流对保险丝寿命的 影响,我们通常选择额定电流比这个值大数倍的保险丝。另外需要注意的是保险丝的额定电压,如果选择的保险丝额定电压低于电源最高输入电压,可能造成保险丝的两极之间出现拉 弧现象。例如图六中选择了 1A/250V 的保险丝。
对于热敏电阻,我们首先需要了解稳定情况下的阻值,然后根据阻值和最大有效值电 流得出电阻上的功耗,最后选取额定功率大于计算值的电阻。对于小功率的开关电源,通常 省去了热敏电阻。
5.2 共模电感和安规 X 电容的选取
共模电感和安规 X 电容一起组成了共模滤波器。在开关电源中,这两者的参数相对变化较小。对于共模滤波器电感,电感量在几 mH 到几十 mH,一般情况下,功率越大时,共模 电感的电感量越小。安规 X 电容恰恰相反,功率越大时,该电容的容量通常越大。安规 Y 电容的容量一般在 100nF 到几百 nF。
共模电感和安规 X 电容的具体参数很难通过公式计算,通常应用中,依据经验值大概 确定电感量和电容量的大小,然后在测试者对参数调整。共模电感选取的另一个要点是保证 输入电流不会导致磁芯的饱和。对于成品化的共模电感,可以提供输入功率等参数进行选购。
5.3 输入整流二极管的选择
市电输入一般为 50Hz 或 60Hz 的工频信号,输入整流二极管一般为高压 PiN 二极管, 因此二极管的功耗主要是导通损耗。导通损耗等于二极管的正向压降与正向平均电流的乘积,对于交流正弦输入和全桥整流的应用,平均二极管电流等于有效值电流乘以正弦因子, 计算公式如下:
所以理论上计算得到所需的二极管最大整流电流只需大于 75mA。但是考虑到额定电流 更大的二极管发热更低,并且在大的输入滤波电容作用下,流过整流二极管的电流波形为尖 脉冲,为了增加二极管的寿命和可靠性,通常选择额定电流远大于计算所得到的最大平均电 流。整流二极管的另一个重要参数是最大反向工作电压,桥式整流中,二极管承受的最大反 向电压即市电输入最高电压。在实际应用中,为了安全起见,一般选择最大方向工作电压为 市电最高输入电压 2 倍的二极管。图七所示的电路中选取了 1A/600V 的整流桥。
5.4 输入滤波电容的选取
输入滤波电容使整流后的半正弦信号变为相对平坦的直流电,电容量的大小决定了直流的平坦度。假设充放电阶段电容上的电压都是线性变化的,我们可以得到图九所示的波形。 一个周期内,在 AB 段,市电通过整流二极管向电容充电,电容上的电压上升,在 BC 段, 电容向后级负载放电,电容上的电压下降。电容上的电压周期性地波动,周期为工频周期的 一半。
图九 电容上的直流电压波形 输入滤波电容上的电压即变换器的输入电压,为了较为准确地得到变换器输入直流电压 的范围,我们需要计算电容上电压的波动值。我们假设一个周期内电容的充电时间为 Tch, 并且规定充电时间占周期时长的百分比 Dch,根据经验,Dch 一般取 0.2 到 0.3,我们得到如下的计算过程:
其中,I 表示电容后接负载的平均电流,在电容上电压波动不大的情况下,我们通过下 式估算:
其中 Pin 为反激变换器的输入功率,等于输出功率与系统效率的比值。最后我们得到电 容上电压波动范围计算式如下:
其中 fin 表示工频频率,50 或 60Hz,η为系统的效率。从上面的计算可以看出,变换器 输入直流电压的波动正比于输入功率,反比于输入电容容量。对于离线式反激式变换器,一 般按照每 W 输出功率 2—3μF 选取输入滤波电容。在确定输入滤波电容容量后,就可以得 到变换器的输入直流电压范围。例如,对于图七所示电路,输入 85V—265V 交流市电,预 估效率为 0.75,取 Dch=0.2,得到如下计算结果:
5.5 变压器的设计
变压器是开关电源设计中的难点和重点,变压器参数是否合适对整个电源的效率、纹波、辐射等方面有重要影响。反激式变换器的变压器实际是一个耦合电感,它传递的是电流信号, 因此匝比和输出电压没有直接关系,但是匝比会影响初级开关管和次级输出二极管的电压电 流应力。
如果不考虑漏感尖峰电压,那么关断期间开关管承受的最大电压等于输入最大直流电 压加上次级反射电压,输出电压一定时,变压器匝比越大,反射电压越高。另一方面,开关 闭合导通期间,次级输出二极管承受的反向电压为初级反射电压加上输出电压,变压器匝比 越大,初级反射电压越高,二极管承受的反向电压也就越高。所以匝比的选取需要综合考虑 开关管和输出二极管的电压应力。
5.5.1 确定最大占空比
在实际应用中,初级开关管的耐压通常是比较固定的,而次级输出二极管的选择则可以比较灵活,所以我们在下面的设计过程中从开关管的电压应力这一角度考虑。 考虑输入电压最小时,对应最大的占空比,从第二节占空比的关系式可以得出次级反
射电压与占空比存在如下关系:
前面提到过,一般限定最大占空比不超过 0.5,在这里我们取 0.45(这是计算时最常用 的值)的话,得到图七所示电路中初级反射电压为:
不考虑漏感尖峰时开关管的电压应力为:
图六所示电路中 RM6203 内部开关管的耐压为 700V,所以余量是比较充足的。通常情 况下,我们为开关管的耐压流出 20%左右的余量,例如耐压 600V 的开关管,一般将电压应 力控制在 480V 左右。留有的余量过小,将会导致尖峰抑制电路的设计变得非常困难。如果 求出的电压应力过大,就应该通过减小最大占空比重新计算。
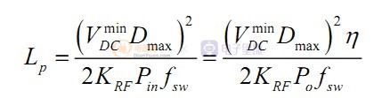
5.5.2 确定变压器初级电感量
前面提到,反激式变换器的变压器可以看做是耦合电感,初级电感量是变压器最为重要的参数之一,它直接影响电流纹波和变换器的工作模式。 根据第一节的关系式,初级电感量满足如下关系:
其中 fsw 为开关频率。而电感中变化的电流与电感平均电流之间有如下关系:
图十一 初级电感电流波形图
如图十一重新给出初级电感电流波形,如果一个周期中开关闭合期间,全部输入能量存储在初级电感中,那么输入功率可以按如下关系求得:
由上面三个式子综合得出初级电感量可以通过如下关系式求得:
前面提到过,对于最大输出功率时对应连续工作模式的反激式变换器,KRF 取在 0 到 1 之间,而在实际应用中,对于 85-265VAC 输入的应用,KRF 通常在 0.3-0.6 之间选取,取 值越大,电流纹波越大。
仍然以图七中电路为例,取 KRF=0.4,计算得到初级电感量如下:
其中 RM6203 的开关频率为 60KHz。
5.5.3 确定磁芯体积
磁芯的选取应同时考虑磁芯截面积 Ae 和磁芯的窗口面积 Aw,常用的经验公式如下(摘 自飞兆半导体《采用 FPS 的反激式隔离 AC-DC 开关电源设计指南》):
上式中,Bmax 为磁芯最大磁通密度,必须小于饱和磁通密度,对于一般的铁氧体磁芯, 饱和磁通密度在 0.39T 左右,这里选取最大磁通密度 Bmax 为 0.3T-0.35T 之间。式中用到了 开关管的峰值电流和有效值电流两个参数,在离线式反激式变换器中,开关管电流波形和初 级电感电流波形一致,因此,这两个参数也就是初级电感峰值电流和有效值电流。
从图十一中可以看出,初级电感峰值电流由下式求得:
需要注意的是,根据上述计算得到的 Ap 值只是一个起点,实际选取磁芯的 Ap 值一般会 比这个值大,甚至大很多。在工程应用中,输出功率和开关频率确定的情况下,相应的磁芯 体积也就大致确定了。图七所示电路中的变压器实际使用了 EE20 型磁芯,Ae=39mm2,Aw=63mm2,Ap=39*63=2457mm4。
5.5.4 确定匝比和初次级匝数
磁芯选定后,根据第 4 节的关系式,我们知道,当电感量、磁芯面积和电流一定时,匝数越多,磁芯的磁通密度越小。初级绕组在峰值电流处达到最大的磁通密度,因此可以求 出初级线圈所需的最少匝数,计算关系式如下:
Bmax 为磁芯工作时的最大磁通密度,为了防止磁芯饱和,Bmax 必须小于饱和磁通密度Bsat。对于常用的功率铁氧体,饱和磁通密度一般为 0.35-0.39T。Bmax 的取值越小,磁芯损耗也越小。具体计算过程中应注意单位,其中 L 的单位为 H,Bmax 单位为 T,Ae 单位为 m2。
对图七所示电路,取 Bmax 为 0.28T,计算初级绕组线圈匝数为:
在 5.5.1 中,通过设定最大占空比求得了次级反射电压 Vor,由于次级反射电压和次级 电感电压服从匝比关系,因此匝比由以下公式计算:
实际应用中,取整数值 11 或者 12。二极管的正向压降 VD 根据二极管的类型选取,对 于反向耐压 40V 以内的肖特基二极管,取 0.5V;对于反向耐压大于 40V 的肖特基二极管, 取 0.7V-1V;对于快恢复二极管,取 1V-1.5V。
初级绕组匝数和匝比确定后,就可以算出次级绕组匝数,对图七所示电路,取匝比 11 和 12 时分别有:
果选取匝比 11,得到的次级绕组匝数不为整,此时可以适当增加初级绕组匝数,例 如将初级增加到 99T 时,次级可以取 9T。下面我们仍然按照匝比 12 来计算。
得到了初级和次级匝数后,需要进一步求得辅助供电绕组的匝数。如果次级不止一组, 还要求出次级其它绕组的匝数。开关管关断期间,所有的次级绕组电压服从匝比关系,假设 辅助供电绕组匝数为 Na,另有一组次级匝数 Ns2,则有如下关系式:
由上面的关系式可以得出辅助供电绕组和其它次级绕组的匝数。其中 Vcc 为控制 IC 的供 电电压,VO2 为另一绕组的输出电压,VDa 和 VD2 分别为辅助供电绕组和另一组次级绕组的输出 二极管正向压降。一般情况下,辅助供电绕组的电流很小,相应的输出二极管要求不高,通 常使用 1N4148 之类的小信号高速开关二极管。图七所示电路中,RM6203 的工作电压范围为 4.8V-9V,取 7V 得到辅助供电绕组匝数为:
取整数 11T。
5.5.5 估算气隙长度
由于铁氧体材料的相对磁导率很高,当线圈中通入较小的电流时,就能在磁芯中产生很 大的磁通密度,使磁芯迅速进入饱和。为了防止磁芯饱和,必须限制磁芯中的磁通密度摆幅, 最常用的方法就是在磁芯中增加气隙。由于空气或者非导磁材料的相对磁导率很低,因此长 度很短(零点几毫米到几毫米)的气隙就能使得磁阻大大增加,从而使得磁通密度大大减小, 有效防止大电流情况下磁芯饱和。
图十二给出了增加了气隙时和没有增加气隙时的 B/H 曲线。图中实线为没有加气隙的 铁氧体磁芯磁滞回线,虚线为加有气隙的磁滞回线。显然,加有气隙后,尽管磁芯的饱和磁 通密度没有改变,但是磁滞回线的斜率大大减小了(相当于相对磁导率降低)。也就是说, 同样的电流激励下,增加气隙后的磁芯磁通密度摆幅大大减小,从而磁芯可以承受比没有气 隙时大得多的电流偏置。
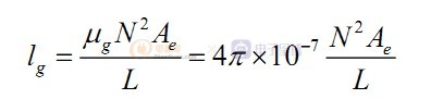
反激式变换器的设计中,提前估算出气隙的长度是很重要的,这样在试制变压器的过程 中能够做到心中有数。对于给出的计算公式,多数工程人员没有理解其来源,如果一味搬用, 在选取各参数的单位时,容易出现困惑。下面根据磁学基本知识推出气隙长度的估算方法:
上式是电感量的计算公式,其中 Rc 和 Rg 分别表示磁芯材料和气隙的磁阻,不难看出, 电感量正比于线圈匝数的平方,反比于总的磁阻。而磁阻的计算公式如下:
其中 lc 和 lg 分别表示磁芯材料磁阻长度和气隙的长度,μc 和μg 分别表示磁芯材料的磁 导率和气隙的磁导率,Ae 和 Ag 分别表示磁芯材料的截面积和气隙截面积。如果气隙只加在 中柱,那么 Ae 和 Ag 是相等的,等于磁芯材料的中柱截面积。
从上面三式可以整理得出电感量的计算公式如下:
由于气隙一般为空气或者非导磁材料,所以气隙磁导率非常接近真空磁导率并且远小 于磁芯材料的磁导率,那么上式中可以忽略分母中第一项,并且将分子部分的μc 和分母部 分的(μc-μg)约去,最后得到如下形式:
最后将气隙的磁导率取成真空中的磁导率,就得到如下的气隙长度就算公式:
为了避免出现单位上的混乱,上式一律采用国际单位制,Ae 单位为 m2,L 的单位为 H, 最后得到 lg 的单位为 m。在反激式变换器的计算中,L 即初级电感量。
下面以图七所示电路为例:
根据得到的气隙长度,在试制变压器的过程中,有两种方法来实现这个气隙,一种方 法是将磁芯的中柱磨掉一部分,磨掉的长度大约等于计算得到的气隙长度。由于计算误差和 测量的误差,设计操作时,采用边磨边测电感量的方法,直到测得的初级电感量在一定误差 内接近计算得到的电感量为止。另一种方法是垫气隙,即在磁芯的中柱和边柱中间垫上非导 磁薄膜材料,例如云母片、塑料片等,此时由于实际的气隙长度等于中柱的气隙长度加上边 柱的气隙长度,所以薄膜的厚度约等于计算得到气隙长度的二分之一。同样,垫气隙时仅以 计算得到的气隙长度作为参考,边垫边测直到初级电感量满足要求。
至此,变压器磁学部分的计算完毕,关于绕组线径的选取,将在下面的小节中讨论。
5.6 绕组线径的选取
由于绕组的损耗来自铜线内阻造成的发热,所以铜线截面积应该按照绕组的有效值电流来算。对于初级绕组,其电流波形和开关管电流波形一致,所以其有效值电流和开关管有效 值电流一样,有以下公式计算:
根据散热条件、铜线长度的不同,通常将铜线的电流密度选取在 4-10A/mm2。由于变 压器绕组通常处于密闭环境中,一般将电流密度取在 4-6A/mm2。有了这一参数,我们就 可以根据铜线的有效值电流选取线径了。
5.5.3 中计算得到初级线圈有效值电流为 0.256A,取电流密度为 5 A/mm2,则所需的导 线截面积为:
根据第二节的推导,我们得知次级绕组电流和初级绕组电流之间服从匝比关系,即次 级绕组电流的平均值和变化量等于初级绕组电流平均值和变化量的 n 倍,n 为初次级匝比, 而连续模式下次级电流的占空比等于 1 减去初级电流占空比,即有如下关系成立:
将以上关系式带入初级绕组电流有效值的计算公式中得到次级绕组电流有效值关系式如下:
对于电流较大时,如果选用单股线径较粗的铜线,由于高频电流下的趋肤效应,会造 成电流集中在导线边缘,造成铜线的实际有效截面积减小,内阻增大,铜线损耗增大。这种 情况下,一般选用两股或两股以上的线径较细的铜线并绕,已减小趋肤效应的影响。采用多 线并绕的另一个原因是,当铜线线径过粗时。绕制难度会增加。实际情况下,直径超过 1mm 的铜线绕制起来就比较麻烦了。
对于上述计算得到的铜线截面积,如果我们选用 AWG25 线(铜线直径 0.4mm,外径约 0.46mm),那么单股的铜截面积为:
那么大概需要五股这样的铜线并绕。
5.7 RCD 钳位电路的设计
开关管关断瞬间,由于变压器和 PCB 线路漏感无法耦合到次级,将在初级感应出一个 很高的电压尖峰,尖峰电压和输入直流电压、次级反射电压一起加在开关管上,为了防止尖峰电压击穿开关管,必须采取相应措施将这个尖峰电压钳位在一定的范围内。
如图七所示的 R4、C5 和 D3,当开关关断瞬间产生漏感尖峰时,尖峰电压和次级反射 电压叠加,使得 D3 正偏导通,此时由于 C4 上的电压不能突变;在开关闭合期间,D3 是反 偏的,此时存储在 C5 中的部分能量通过 R4 释放,因此初级侧的电压被钳位在一个固定的值附近。
钳位电路产生的功耗等于钳位电容上的电压消耗在钳位电阻上的功耗,而电容上的电压等于次级反射电压和漏感能量导致的电压变化量,于是可以得到下式:
其中 Vclamp 为钳位电容上的平均电压,ΔVclamp 为漏感能量导致的电容电压变化量,从 电感的基本关系式可以得出:
在上式中漏感电流从初级电感峰值电流变化到零,因此可以求得变化时间如下:
根据电感能量的计算公式,可以得到一个周期内漏感中的能量如下关系式:
漏感的能量全部消耗在钳位电路中的电阻上,因此有如下关系式:
其中 VC 为电容上的平均电压,T 为开关周期。加上钳位电路后,开关管关断瞬间及整个关断期间开关管承受的电压为输入直流电压加上电容上电压 VC(忽略钳位电路中二极管 压降),而 VC 等于次级反射电压加上漏感能量导致的电容上升高的电压。
前面确定占空比时,我们说过,一般会为 MOS 管的电压应力留 20%左右的余量,对于 600V 的开关管,我们留下了 120V 的余量。钳位电路加入后,漏感能量导致的电容上升高 的电压要占据余量的一部分
5.8 输出二极管的选取
输出二极管为肖特基二极管或快恢复二极管,广义上说,肖特基二极管也属于快恢复二极管的一种。对于所承受的反偏电压小于 100V 的情况,可以选用优先选用肖特基二极管, 对于所承受的反偏电压大于 100V 的情况,一般选用快恢复二极管。
输出二极管根据其通过的平均电流和反偏时承受的电压来选取。在第一节基本反激式变 换器的原理中已经得出,输出二极管的平均电流等于负载平均电流。对于图七中最大负载电 流 2A 的情况,输出二极管的最大平均整流电流理论上大于 2A 即可。
考虑到二极管在高速电流信号的作用下,开关损耗比较严重,加上第三节讨论到的二极 管上的出现的振荡,会进一步加大二极管的损耗,所以在实际应用中,往往选择最大平均整 流电流比最大负载电流大数倍的输出二极管,以减小二极管的温升。
在第二节中讨论过,开关管闭合时,输出二极管反偏截止,此时二极管上承受的最大反 偏电压为输出电压加上最大初级反射电压,如下式:
那么这里可以选取 3A/40V 或以上型号的肖特基二极管。图七中所示的 SK34 即 3A/40V 的肖特基二极管。








































