
| |||||||
在开关稳压电源设计的过程中,工程师需要从整体入手进行严谨设计,无论是保护措施还是电路设计,都需要在符合稳压电源设计的要求下,保障整个电源的系统安全和稳定性。其中,单元电路的设置对于开关稳压电源设计的全局来说,是非常重要的一环,需要谨慎对待。在今天的文章中,我们将会就这种稳压电源设计方案中的单元电路设置,进行实例简析。
在这种稳压电源设计的方案中,该开关电源系统的总体框图如下图图1所示,在该系统中,单元电路由开关变换电路、输出滤波整流电路、采样电路和PMOS驱动电路构成。在已经获得了总体框图的基础上,下面我们开始进行单元电路的逐一设置和计算。
开关变换电路设计
在开关稳压电源设计的过程中,开关变换电路的设计十分重要。普通的电子开关具有快速地开通、快速地关断这两种状态,在正常运行时能够快速地进行转换。而只有力求快速,才能使开关快速地渡过线性放大工作区,在两种状态切换时所引起的损耗才小基于我们设计的是小功率的开关稳压电源,并且功率场效应管的开关特性较好,所以我们选择MOS管作为开关。又由于普遍用于高端驱动的NMOS,导通时需要是栅极电压大于源极电压。而高端驱动的MOS管导通时源极电压与漏极电压相同,所以这时栅极电压要比VCC大4V或10V。如果在同一个系统里,要得到比漏极电压大的电压,就要专门的升压电路了,所以我们选择PMOS管来完成开关变换电路的设计。在本案例中,我们所选择的PMOS参数为Vds100V,Id12A、Pd75W。
输出滤波整流电路设计
在这一类型的稳压电源设计中,单元电路中的输出滤波整流电路主要由续流二极管、电感和电容组成。在这里我们考虑续流二极管在PMOS管截止时导通,消耗能量,又工作于高速状态,所以在本案例中我们选择低功耗、大电流、超高速的肖特基二极管IN5817,其最大峰值反向电压为40V,最大反向有效值电压为28V,最大直流阻断电压是40V。除此之外,IN5817还有两个参数是需要了解的,那就是这种肖特基二极管的最大正向平均整流电流为1A,最大正向压降为0.6V。
在确定了肖特基二极管的参数后,由BUCK变换器原理分析可知,为了使电路工作在电感电流连续模式下,加上波纹电压为:
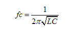
所以在这一输出滤波整流电路的设计过程中,电感应该尽可能取得大,我们选择的电感为8mH。电容主要是吸收纹波,具有平滑电压波形的作用。电容与电感相当于一个低通滤波滤器,其截止频率可通过该公式定义为:
考虑到电容上等效串联电阻的损耗,我们选择的电容为1000uF,此时有:
此时,输出滤波整流电路中的截止频率约为562Hz,可见对于几十kHz的PWM波有很好的滤波效果。
采样电路设计
采样电路同样是开关稳压电源设计中的重要环节,在本放哪中,由于LPC2132片内的A/D采样范围为0—2.55V,而buck变换器的输出为5—12V,这一数值远超过采样范围,因此我们采用电阻分压的方式。这种设置方式可以使输出电压缩小5倍,随后即可通过软件将采样值放大5倍恢复为实际输出电压。
在本方案中,采样电压可计算为:
由于:
则有:
采样电路图设计图纸如下图所示:
PMOS驱动电路
无论是在哪种稳压电源设计的过程中,驱动电路的设置都是十分重要的。在本方案中,PMOS驱动电路也同样是需要我们严谨计算和对待的。由于PMOS的特性,Vgs小于阈值电压才导通,IRF9530的阈值电压可计算为:
又因为源极电压为输入电压15V,所以栅极电压必须达到11V以上才截止,从而工作于开关状态。而LPC2132输出的PWM波,高电平为3.3V,不能使PMOS管截止,所以我们可以通过设置一个三极管作为开关来实现。当PWM波低电平时三极管截止,集电极电压大约为15V,PMOS管截止。高电平时三极管导通,集电极电压大约为0V,PMOS管导通。考虑到三极管工作于几十kHz的频率,因此,在这种中小功率的新型开关稳压电源设计中,我们可以选择9018低噪声高频放大管来进行PMOS驱动电路的设计。
声明:本内容为作者独立观点,不代表电源网。本网站原创内容,如需转载,请注明出处;本网站转载的内容(文章、图片、视频)等资料版权归原作者所有。如我们采用了您不宜公开的文章或图片,未能及时和您确认,避免给双方造成不必要的经济损失,请电邮联系我们,以便迅速采取适当处理措施;欢迎投稿,邮箱∶editor@netbroad.com。