
| |||||||
1.引言
28V直流电源是最早使用在飞机上的一种电源。其额定电压为28V,稳态变化范围18~36V。在航空28V直流电源中要求用电负载能够承受80V/50ms 的过压浪涌和8V/50ms的欠压浪涌。电压浪涌多发生于大发电机开关、发动引擎、瞬变负载等情况下,如突卸或突加负载会引起发电机汇流条电压短时升高或下降,从而产生过压浪涌或欠压浪涌。这些浪涌电压通常出现在配电总线处,本文所指浪涌均为过压浪涌。浪涌电压大大地超过稳态电源电压,当它袭击到用电设备上时,往往造成误操作和设备的损坏,可能使整个系统停顿、通信中止。
鉴于上述提到的浪涌的危害性,为了保护这些用电设备,防止受浪涌电压冲击而损坏,必须在直流电源电子设备的设计中,考虑浪涌的影响,增加防护措施,设计有效的抗浪涌电路,对电子设备的电源电路进行防浪涌处理。由于80V/50ms 过压浪涌的伏秒积很大,所以不能简单地用传统的储能方式来抑制,否则电感和电容元件将会太大。
2.原理与设计
本文总结了部分尖峰浪涌抑制的方法,具体介绍如下:
2.1 无源浪涌抑制器
浪涌抑制器最基本的使用方法是直接将电压箝位器件与被保护的用电设备并联,以便对超过被保护设备预定电压值的情况进行能量转移。其中,电压箝位器件主要有压敏电阻和瞬态电压抑制器等。在正常情况下,电源电压的波动范围低于箝位器件的动作电压,入情况下,Zs 上也存在压降,增加了损耗。
箝位器件无反应,相当于开路;当电源出现浪涌时,一旦浪涌电压高于箝位器件的动作电压,箝位器件快速导通,将电源电压限制在安全范围内,从而起到保护用电设备的作用。
2.1.1 氧化锌(ZnO)压敏电阻
ZnO压敏电阻器是一种以ZnO 为主体、添加多种金属氧化物、经典型的电子陶瓷工艺制成的多晶半导体陶瓷元件。压敏电阻的伏安特性如图1 所示,它与两只特性一致的背靠背连接的稳压管性能基本相同。压敏电阻在电路中通常并联在被保护电器的输入端,如图2 所示。图中,Zs 的作用是限制过压时的电流,压敏电阻的Zv 与电路总阻抗构成分压器,因此压敏电阻的限制电压为
当压敏电阻两端所加电压在标称电压内时,其阻值几乎为无穷大,处于高阻状态,漏电流远小于50μA;当它两端电压超过额定电压时,其阻值急剧下降,压敏电阻导通,工作电流增加几个数量级,反应时间为毫秒级。由此可见,Zv 在瞬间流过很大的电流,Zs 上将承受浪涌电压中大部分电压,而使得用电器的两端电压比较稳定,因此能起到保护作用[2],但在正常输入情况下,Zs 上也存在压降,增加了损耗。
2.1.2 瞬态电压抑制器
另一种浪涌抑制元件是瞬态电压抑制器(TVS)。当TVS 两极受到反向瞬态高能量冲击时,它能以10-12s量级的速度,将其两极间的高阻抗变为低阻抗,迅速吸收高达数千瓦数量级的浪涌功率,使两极间的电压箝位于一个预定值,有效地保护电子线路元器件免受各种形式的浪涌脉冲的损害[2]。瞬态电压抑制器具有体积小,安装尤其方便,响应时间快、瞬态功率大、漏电流低,击穿电压偏压小,箝位电压易控制等特点。TVS 二极管有下列不同功率可选择:(ProTek 公司)
TVS二极管允许的正向浪涌电流在250°C 时,可达50~200A,但抑制时间最长仅能达到10ms,所以TVS 对于80V/50ms 的连续浪涌电压,不能起到良好的抑制效果。另外,由于电压箝位器件是对浪涌电压的能量进行吸收,经常承受大功率浪涌冲击,会加快器件老化,工作一定时间后,性能和可靠性下降,保护能力减弱,导致自身和用电设备都可能受浪涌冲击而损坏。
2.2 有源浪涌抑制电路
为了避免浪涌抑制器件长时间受到大功率的浪涌冲击而损坏,所以不考虑并联吸能的方式,而是采用一个功率开关器件来控制电源输入,如图3 所示。在此原理基础上,提出了三种有源浪涌抑制电路。
2.2.1 Buck 型浪涌抑制电路
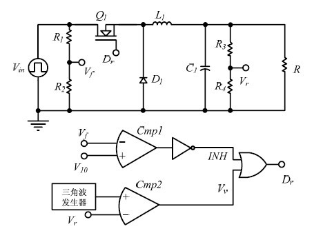
Buck 型浪涌抑制电路由Buck 主电路和控制电路组成。如图3 所示,其中R1、R2 采样输入电压得到电压Vf,R3、R4 采样输出电压得到电压Vr。具体控制原理如下:采样电压Vf 与基准电压V10,经由比较器cmp1 进行比较,输出信号INH;采样电压Vr与三角波经过比较器cmp2,输出信号Vv;信号INH与Vv 通过或门运算,输出信号Dr,用于控制主电路中功率管,达到抑制浪涌电压的目的。图4 和图5 为仿真波形,由仿真分析可见,当输入电压为28V 时,输出电压为27.9V;当输入电压超出36V 后,随着输入电压增大,占空比减小,抑制输出电压的增大,当输入电压为80V 浪涌电压时,输出电压可抑制在40V。
该电路优点:Q1 工作在开关状态,损耗小;缺点是增加了两个主电路器件,体积尺寸增大。正常电压下主负载电流流过两个新增器件(Q1,L1),影响正常状态下系统效率。不过可以通过提高开关频率来减小电感尺寸。
2.2.2 双晶体管控制型浪涌抑制电路
双晶体管控制型浪涌抑制电路如图6 所示,功率器件Q1 采用P 沟道MOS 管,稳压二极管D1 的作用是保护Q1 栅源电压在安全范围之内,防止击穿。
双晶体管控制型浪涌抑制电路类似于一个降压型开关稳压电路,输出电压的变化实时反馈到前端,控制功率管Q1 处于线性状态或开通状态,以保证输出电压稳定在一定范围之内,消除了浪涌电压的冲击。当输入电压正常时,R5、R6 分压值小于Q3 基极导通电压,Q3 截止;Q2 基极电压等于射极电压,Q2 截止;R1、R2 分压使Q1 栅源极电压大于导通电压,此时Q1 导通,电源通过Q1 对用电设备正常供电。当电源出现浪涌时,浪涌电压对C1 进行充电,当C1 电压高于浪涌保护电压值时,R5、R6 分压值大于Q3基极导通电压,Q3 处于线性放大区,Q2 导通,Q1 截止,断开电源,此时依靠C1 维持用电设备供电。当C1 端电压下降到正常范围内时,R5、R6 分压值小于Q3 基极导通电压,Q3 截止,Q2 也截止,Q1 导通,恢复电源供电。
图7 和图8 为仿真波形,由仿真分析可见,当输入电压为28V 时,输出电压为27.9V;当输入电压超出36V 后,随着输入电压增大,功率管上承受的压降增加,抑制输出电压的增大,当输入电压为80V 浪涌电压时,输出电压可抑制在40V。
优缺点分析:该电路结构简单,但是P 沟道MOS管导通电阻较大,影响正常状态下的效率。
2.2.3 电荷泵驱动型浪涌抑制电路
如图9 所示的电荷泵驱动型浪涌抑制电路,是在Vicor 公司的产品V24A28C400AL 采用的滤波器基础上改进的。在正常输入电压时,MOS 管开通,输出正常电压;当输入电压存在浪涌时,反馈电压控制电路控制MOS 管驱动,使其处于线性工作状态,抑制浪涌电压。高压、低能量尖峰由跨接在输入端的电容及瞬态抑制器吸收。余下的电路都用作处理高能量的浪涌。
具体工作原理如下:
输入电压通过电阻R5 给电容C3 充电,由D2 箝制充电电压。若D2 为12V 的稳压管,则C3 的电压被箝制在12V。由于电容C3 上的电压没有放电回路,所以C3 上电压能稳定在12V。12V 电压接至定时器555 的Vcc(8 脚)和运放LM10C 的V+(7 脚),作为两个芯片的供电电压。在正常输入电压时,定时器产生高频方波,按照充电泵原理[4],由R3、C4、D1 及D3 进行峰值检波及电平位移,能将C4、D1 相连的节点处电压变为低电平为28V,高电平为38V 的方波,该方波通过D1 给电容C7 充电,D4 限制充电的最高电压,由于电容C7 充电后没有放电回路,所以充电电压不超过D4 最高电压,则电容C7 能保持充得的最高电压。C7 的电压给MOS管的栅极供电,则栅源极间存在电压差(该电压差值可以通过改变定时器的驱动电压来控制),高于MOS 管的开启电压,此时MOS 管工作在饱和区,输出电压为输入电压。由于R13、R14 分得的电压反馈至LM10C 的3 脚,因为LM10C 的1 脚电压值设计为2V,所以LM10C 的反相输入端电压为2V。若反馈电压也为2V,则运放LM10C 的输出电压为0V,晶体管Q2 处于关断状态。建压完成后,C7 上的电压稳定,D1、D3 都处于关断状态,Ugs 大于开启电压,MOS 管一直导通。当输入电压中出现浪涌电压时,R13、R14 的分压值大于2V,经过运放LM10C 后,输出电压为某一定值,它驱动晶体管Q2 导通,使其处于放大区。由于MOS驱动电压Ugs 小于开启电压,MOS 管处于线性区,输出电压为浪涌电压减去MOS 管两端的Uds。电荷泵驱动型浪涌抑制器仿真结果如图10 所示。在4ms处,输入电压出现浪涌电压,浪涌抑制器将输出电压稳定在40V。仿真验证其浪涌抑制性能良好。
该电路优点:相比于Buck 型浪涌抑制电路,正常工作时,电流只流过一个开关管,损耗更小;缺点:电路复杂性增加。对比三种有源浪涌抑制电路性能,如表2 所示,双晶体管控制型浪涌抑制电路原理简单,器件较少,但采用P 沟道型MOS 管,在大功率场合下,开关器件通态损耗大,所以适用于小功率场合;Buck 型浪涌抑制电路和电荷泵驱动型浪涌抑制电路可用于各种功率等级,但从成本角度考虑,电荷泵驱动型浪涌抑制电路更具优势。
对小功率场合,双晶体管控制型尖峰抑制器比较好,功率比较大的应用场合,Vicor 型尖峰抑制器比较适合。
3.实验
设计实例:输入电压18~36V;尖峰电压:80V/50ms;输出功率:0~40W;尖峰电压期间输出电压控制在40V;启动冲击电流不高于5A。R1、R2、C2 的取值无特定要求,但需要保证555定时器能输出高频的方波, 所以取R1=5.1kΩ,R2=2.2kΩ,C2=1nF,R3=68Ω,C4=10nF,则将参数代入式
则f=150kHz,幅值为10V。
由于LM10C 的工作原理,1 脚电压值为2V,所以取R11=2.7kΩ,R12=0.3kΩ,代入式( ) 1 12 11 12 2.5V = V × R R + R (3)得V1=2V。R13 和R14 的取值决定在存在尖峰电压时,输出电压的幅值。若需将电压抑制成40V,则取R13=3.4kΩ,R14=64.6kΩ,使得40V 输出时的R13 分得电压为2V。
图12 电荷泵驱动型浪涌抑制电路存在浪涌输入电压时,输入电压与输出电压波形图实验结果表明,在28V 输入电压下,输出电压能正常跟踪输入电压;当输入电压出现浪涌时,浪涌抑制器能将电压抑制在40V 范围内,较好地实现了浪涌抑制功能。
4.结论
本文研究了抑制28V直流电源系统的输入电压浪涌,针对无源浪涌电压抑制器存在易老化、易损坏、箝位电压精度不高等问题,研究了三种有源浪涌电压抑制方法,都进行仿真验证,并选取电荷泵驱动型浪涌抑制电路进行实验验证。研究表明,电荷泵驱动型浪涌抑制电路具有较好的抑制浪涌电压的性能。
声明:本内容为作者独立观点,不代表电源网。本网站原创内容,如需转载,请注明出处;本网站转载的内容(文章、图片、视频)等资料版权归原作者所有。如我们采用了您不宜公开的文章或图片,未能及时和您确认,避免给双方造成不必要的经济损失,请电邮联系我们,以便迅速采取适当处理措施;欢迎投稿,邮箱∶editor@netbroad.com。